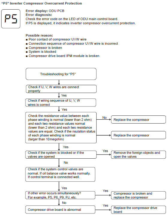
P5 Inverter Compressor Overcurrent Protection - VRF - GMV5 MCMX MCSX MCHX MCRX
P5 Inverter Compressor Overcurrent Protection - VRF - GMV5 MCMX MCSX MCHX MCRX Print
Modified on: Thu, 23 Dec, 2021 at 8:53 AM
Did you find it helpful? Yes No
Send feedbackSorry we couldn't be helpful. Help us improve this article with your feedback.