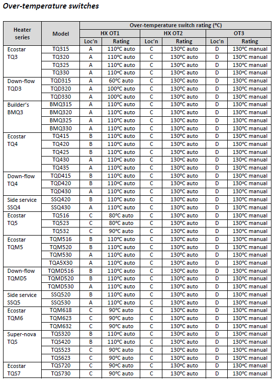
TQ DGH FC10, FC19 - FC10 HX OT1 Open and FC19 HX OT2 Open - Over-temperature switch identification
Fault code history can be accessed:
SETTINGS/SERVICE/GAS HEATER 01/7378 CONT/FAULT LOG
YouTube Video - MagIQtouch Heater Fault Log
YouTube Video - TQ FC19 Diagnostic and Reset Video
Check and confirm with supplied wiring diagram under the lid of heater
HX-OT1 - Red wires on both sides of Over-temperature switch
HX-OT2 - Red and Pink wires one side and Grey wire other side of Over-temperature switch
OT3 Burner housing flame rollout (red reset button) - Orange wires both sides of Over-temperature switch






HEATER CONFIGURATION
Swapping inlet & outlet panels
The heater side panels can be moved to suit a range of installations.
To do this:
- Remove heater top panel.
- Remove the screws securing the side/end panels that are to be
changed.
- Remove the side panels.
- Move the inner metal insulation panel to the side or end of the
heater to ensure a twin skin sheet metal layer is maintained.
- Secure the side panels in their required new positions and re-fit the
heater lid.
- Check that all panels are secure and screws are tight.
- IMPORTANT: Increase the diameter of the air inlet spigot and the
full run of inlet duct by 50mm to maintain the original air flow rate if
it is moved from the open side to the motor side of the room fan.
- IMPORTANT: The air inlet panel must be fitted to the side of the
heater - do not fit the air inlet panel to the end of the heater.